摘要:公共服务均等化是实现国家治理能力现代化的基本体现,而民族地区义务教育服务的发展有赖于国家财政转移支付制度,因此辨识转移支付与民族地区义务教育服务均等化的影响效应已成为当下边疆治理的重大现实课题。文章通过梳理转移支付和基本公共服务的既有文献,证实了转移支付对基本公共服务均等化影响的应然性。基于藏东南L市义务教育服务的调研数据,借助于标准离差率的统计模型,测度出财政转移支付效果系数U值及财政转移支付对财力均等化所起的作用大小,验证了财政转移支付在财力均衡的基础上对提升义务教育均等化的作用,同时建构出双对数模型及面板回归模型,研究发现人均财政转移支付每增加1个百分点时,人均教育经费支出增加0.1428个百分点,这两者之间存在显著正相关关系。为此,通过优化辖区内的转移支付形式,加大转移支付的倾斜力度,调整和优化义务教育经费的管理模式,旨在进一步地实现边远民族地区基本公共服务均等化。
关键词:转移支付;民族地区;义务教育服务;公共服务均等化
一、问题的提出
随着当前城镇化发展进程的不断加快,基本公共服务供给均等化程度与快速城镇化呈现出非均衡匹配态势,严重制约了新常态下经济与社会的长效性发展,改善和提升公共服务均等化已成为当下现代化建设的核心命题[1],而民族地区的情况更加不容乐观,基本公共服务供给明显落后于东中部区域。由于东中西部区域差距、民族区域差异以及自然地理条件和资源禀赋等因素,进一步致使民族地区的基本公共服务供给的非均等化[2]。民族地区的公共服务均等化并非是人均财政的平均化,也不是统计学层面上公共品的均分,而是应当强调民族地区公共服务供给过程中的民族平等并且认同各民族在公共服务供给、再生产和再分配的平等权利。民族地区公共服务均等化的基本性要求是实现民族地区义务教育服务的均等化,公共服务均等化的实质是摒弃传统的公共品供给,从而转移到“人”的服务均等化。教育是实现人的社会性要求,以人为转移的公共服务均等化关键在于教育服务均等化,而教育服务的基础是基础的义务教育服务,因此,民族地区公共服务均等化的现实基础载体在于实现该民族地区的义务教育服务均等化。
而要保障公共服务均等化,尤其要促进民族地区义务教育服务均等化,这必然需要建立财政转移支付制度,依托于制度供给优势,通过转移支付资金来实现民族地区的公共服务均等化[3]。我国基本公共服务发展与建设轨迹从原先一般性强调西部大开发转变到基本公共服务均等化的国家发展战略,再细化到基础性的义务教育服务等,这都反映出中央政府对公共服务均等化的认知正在不断加深,转移支付对基本公共服务均等化的关联影响日益备受关注,这种转变为民族地区发展提供了制度改革红利,也为从财政转移支付视角来探究民族地区基本公共服务均等化(尤其是义务教育服务均等化)问题提供了重要的现实制度政策供给优势。
有鉴于此,笔者的研究重点将围绕财政转移支付对义务教育服务均等化的影响效应开展,衡量民族地区在承接了财政转移支付前后人均财力状况的变化以及这种变化对义务教育服务均等化程度的影响。因此,笔者将研究范围锁定在西藏自治区的L市,以财政转移支付对义务教育服务均等化的影响效应作为研究对象,以便于系统性剖析L市的纵向转移支付、横向转移支付对L市义务教育服务均等化的定量影响,从而为民族地区财政转移支付提供可借鉴性操作路径,旨在实现民族地区基本公共服务均等化。
二、文献综述
从实践和社会调查的结果可知,民族地区基本公共服务均等化水平在总体层面上低于全国均值水平,这种差距不仅仅体现在总量层面,还表现在基本公共服务的构成层面。基本公共服务均等化水平的最大差距体现在基础性的义务教育[4]。有学者认为因自然地理因素、社会历史条件等原因,民族地区的地方政府财政收支非均衡,致使了基本公共服务抑或公共品供给出现短缺现象,通过多维度对策路径(供给体制、供给总量、供给结构)实现基本公共服务的有效供给[5]。尽管中央政府对民族区域一直存有财政倾斜政策,其对基本公共服务(尤其义务教育服务)起到一定促动力,但囿于财政转移核算体系内在的科学性,民族地区与东中部区域发展明显滞后,即便是民族地区,各个片区的差距仍然存在[6]。
借助于1998-2008年的面板数据,赵楠等考察了中央政府的财政转移支付资金对民族区域公共服务均等化效应,结果发现民族区域公共服务供给有效性的保障主要依靠于中央政府的财政转移支付[7],但囿于转移支付制度、供给模式以及相关配套政策体系,尝试建构出复合型财政转移支付体系,实现转移支付资金的横向纵向的相互嵌入,以此来保障民族区域公共服务供给有效性。自1994年分税制改革以后,中央政府及民族地区的省级政府借助于转移支付制度不断地调节和优化民族区域的转移支付结构,从而建构出纵向层级叠进的整体性模式,以此解构传统的转移支付的单一化模式,从而进一步地完善民族区域的财政转移制度[8]。
此外,有研究者认为基本公共服务均等化的实现在一定程度上有助于民族地区内部的各民族的国家认同,同时亦提升该地区内部对国家共同体的认知,但囿于民族的固有政治属性,其对基本公共服务及公共品供给的均等化实现必然产生特殊性影响,这在实践过程中往往会被忽略,因此,基于民族内生的该民族的政治特殊性,应当要以该民族自身独特利益、民主、形象和身份等价值诉求,以此来实现基本公共服务的供给,从而以多元协商来保障民族间的特殊性诉求及合法性保障,最终强化基本公共服务在民族地区的普惠性[9]。民族地区基本公共服务均等化供给所涉及的区域范围和供给深度无法触及其边界,但以上种种最后必然是落脚于公共财政的收支结构上,财政收入的水平如何必然反映了该地区的公共服务供给水平,而民族地区财政收支结构和总量往往都表现出民族特殊性,因此,应重塑现行民族地区的财政收支结构降低民族地区财政费用,以基本公共服务供给项目(尤其义务教育服务)为重点供给项目,同时重构民族地区财政转移支付制度,合理放开民族地区地方税种权利[10]。
从以上现有关于“民族地区公共服务均等化”的研究成果来看,专门研究民族地区基本公共服务与财政转移支付政策体系的成果较少,而对于财政转移与基本义务教育服务的研究更少。尽管上述研究对民族地区的公共服务均等化有所涉及,其分析和探究过程往往是以“问题-对策”研究路径来考察民族地区公共服务均等化与财政转移政策之间的关系,足见以上研究的深度和科学性有待考究,难以客观真实地反映出民族地区近五年来的财政转移支付的动态效应与变化趋势。另外,已有研究较大程度是以东、中部省份抑或中央政府的转移支付视角为主,未能从民族地区的具体地区抑或县级政府来考察,而这亦是本文的学术研究重点关注之处。
三、理论基础与实证设计
(一)理论基础
从理论层面来看,当下中国东西部之间、城乡之间及辖区内的区域之间公共服务资源配置不均衡的主要原因在于市场竞争的逐利性,但从实践层面来看,政府尤其是地方政府作为基本公共服务的供给方,本当在辖区内承担起应有资源均衡配置及公共服务供给等职责,此时,政府的政治与经济职能在承担起公共服务职责上体现出为“弱势”区域帮扶。通过一种自上而下的“财政转移支付”政策体系,实现民族地区基本公共服务的供给。事实上,西藏民族自治区的经济与社会发展与沿海及东部区域的差距比较大,尤其是L市,其财政收入并不足以实现供给L市及其辖区内的公共服务,而义务教育服务作为基本公共服务的一项服务,其均等化程度仍旧呈现出非均衡性,因此,实现L市及其辖区内的基本义务教育服务均等化需要建构出一体化的财政转移支付政策体系,借助于中央政府与对口支援的省份(福建省)的财政力量,逐步实现L市义务教育服务的均等化,所以,有必要梳理下财政转移支付制度对基本义务教育服务均等化的实现过程,具体如图1所示。

图1政府转移支付制度对义务教育服务均等化的实现过程
1.地方政府以财政转移支付机制实现地方政府的财力均衡
基于现行中国的经济与社会发展的异质性及区域性,地方政府的财政分权进一步致使中央政府以下的各个层级政府的财力不均,而按照发达国家的历史经验及东部沿海区域的实践,一般性策略选择是依托于政府间的财政转移支付手段。一是税收维度,因地域经济的不同,各层级政府的财政收入表征出较大差异性,故需要强大的财政资金配置力量来实现区域资源配置,而作为中央政府国库所具备的宏观调控能力,充分的税收体系以及收入再分配的税种等内生性特征,使得中央政府依托于“税收杠杆”制度实现财政收入的初次分配,从而保障了中央政府对地方政府的财政转移支付能力,同时又降低了中央与地方之间“距离悖论”的发生可能性,实现中央政府政策对民族地区的全局性惠及范围及深度。二是中国幅员辽阔,民族事务及民族地区差距较为明显,如何推动民族地区的公共服务供给事务的发展已成为当下解决民族团结问题的重要课题。自古以来,中国就是一个多民族共融发展的国家,民族团结是当前中国发展的良性促动力,因此,需要重构现行中国省域及地区间的财政体系、打破固有的行政壁垒、充分发挥财政转移在横向和纵向维度的拓展并且惠及更多地方辖区,尤其提高民族地区的财政供给能力,以便于提升民族地区基本公共服务均等化水平[11]。其中,关键要素是内嵌于财政税收体系的公共服务供给可提升民族地区社会公众满意度,其有助于形成民族地区内部的公共资源配置市场、理顺市场秩序,而这也从客观方面要求中央政府的强大“可控财政资源与配置能力”。一旦中央政府与地方政府在“财权与事权”方面出现非均衡匹配,就会致使“财力纵向失衡”的发生,与此同时,因自然地理条件、地域文化以及经济与社会发展水平等异质性特征,也会致使财政税收的地域性差异。经济发展水平高的区域,其财政税收也相应较高,经济社会发展落后的区域与之相反。至此,在中国现行相对统一的财税体系下,因地方政府经济发展的非均衡而引致“政府间财力横向失衡”[12]。由此,通过重塑中央政府及对口支援政府的财政转移支付制度,以便于调节和优化西部民族地区的财政税收体系,保障了该地区的公共服务的财力供给,从而实现公共服务均等化,尤其是西部民族地区义务教育服务的均等化。
2.财政转移支付是实现义务教育均等化的激励和引导机制
鉴于财政税收的有限,一般落后区域的地方政府在承当日常的政府运行外,难以有充足资金来承担基本公共服务的供给,尤其是与地方政府发展绩效无关的义务教育服务。L市A镇的调研数据表明,家庭成员未能完成初中学业的家庭约有七成。即便有部分地方基层政府有财力来承担应有的公共服务开支,仍旧会以“投资与回报”的收益关系来衡量公共服务,而无法提升地方政府发展绩效的公共服务项目自然会被摈弃,这无疑会加剧L市民族乡镇的义务教育服务非均等化程度。尽管中央政府及对口支援省份对该地区施以转移支付资金的方式以期提升义务教育服务均等化水平,但其忽视了一个关键性要素即L市内民族区域公众的实际需求和客观需求倾向,由此地方政府是不可以逾越的障碍。因此,有必要整合地方政府并且依托于财政转移资金,从而建构出“三位一体”转移支付调节体系,保障了义务教育服务的均等化实现。此外,还需要减少地方政府在施行义务教育服务工程项目所产生的不必要成本与费用[13]。基于L市的财政收入较为单薄,仅仅依靠自身财政供给能力难以维持该辖区内部义务教育服务等基本公共服务均等化的实现。
基于上文的“财政转移支付与财力均衡、公共服务均等化”理论分析,笔者建构出相应的理论假设,以便于下文的实证检验。
假设一:财政转移支付对财力均等化起到促进作用;
假设二:财政转移支付总额越大,义务教育服务的均等化程度越高(两者呈现出正相关)。
鉴于上述两个假设,笔者选取人均财力离散率的方法来测度出经过财政转移前后的财力水平的变化,以期测度财力均等化的影响作用,进而借助于双对数模型以此来衡量财政转移支付总额与义务教育服务均等化程度之间的量化关系。最终,在理论层面和实证测度层面来验证上述两项假设。
(二)财政转移对财力均等化的作用分析与研究设计
笔者借助于人均财力水平来测度L市实际供给义务教育服务的支出水平,以2015年为横截面,通过计算财政转移支付后人均财力的离散程度来衡量其均等化效果。
1.人均财力的计算方法以及选用意义
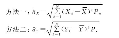
对于L市人均财力水平测度的关键在于辨识财政转移支付前后的财力水平,进而比较转移前后的财力水平,因此,L市财政转移支付前的财力水平是以人均财政收入为准,而财政转移之后的财力水平则是以该地区接受中央政府及对口支援省份财政转移支付资金后的L市下辖7个县的人均财政支出为主。有鉴于此,笔者在此设置δ为L市下辖7个县人均财力水平在接受转移支付资金前后的偏离差额大小,同时δx表示每个县在接受转移支付前财政收入的偏离大小,以δy表示每个县在转移支付之后财力支出的偏离大小。根据标准的离差计算方法,即得出如下的公式方法:

式中,Xk代表L市下辖各县的人均财政收入,
表示为L市人均财政收入,Yk表示为L市下辖各县人均财政支出,
表示为L市人均财政支出,Pk为L市人口比重系数。
在上文论述过程中,为了有效表征出财政转移支付前后L市下辖7个县的财力水平变动状况,有必要引入标准离差率ξ,以便于理顺财政转移支付政策及资金对L市下设7个县财力均等化的现实作用机理。设置两个变量为ξX、ξY,具体而言:ξX表示为L市内各个县受惠于财政转移前的人均财政收入的标准离差率,且满足于ξX=δX/
;ξY表示为L市内各个县受惠于财政转移前的人均财政支出的标准离差率,且满足于ξY=δY/
。在此基础上,经过上述两个新变量的引入,转移支付均等化效果系数则用U表示,且U=ξY/ξX。此外,为了更细化表征出该年份内L市在受惠于中央政府及对口支援省份的财政转移支付资金对公共服务均等化的促进力大小,则用E表示,且E=ξX-ξY,因此,依据ξX和ξY的不同赋值,U和E的大小会随之改变。当0<U<1时,表征出外部嵌入的转移支付对L市的财力均等化起到正向效果,且当U值越趋向于0值时,其财力均等化效果越好;当U=1时,则表示转移支付尚未实现财力均等化的效果;而当U>1时,则表示为转移支付资金对L市下辖各个县的财力水平起到偏差性效果,容易造成财力失衡的现状。与之相对应的是E,当E满足于0<E<1时,则表征出财政转移支付对财力均等化的正向促进作用,当E越趋向于1时,则表示为财政转移支付对财力均等化的效果越好;而当E=0时,财政转移支付对财力均等化效果尚未起到促进作用,表现为财力失衡的态势。
2.转移支付对财力均等化作用的实证省察
为了有效衡量财政转移支付对财力均等化的影响作用,以2015年L市下辖7个县的财政收入总额、财政支出总额、人口总数量的数据为横截面,对此进行实证省察,测度出人均财力的离散程度,以便于衡量转移支付对L市下辖7个县的财力均等化的影响效果,各项变量的描述统计数据见表1。
表1 2015年L市财政转移支付前后L市人均财力离散情况

依据上文的实证测度方法,借助于L市的调研数据,测度出L市2015-2019年的转移支付对财力均等化效果及作用力的系数,详见表2所示。
表2 2015-2019年L市转移支付对财力均等化效果(U)及作用(E)系数

以表2的数据测度结果可得出:L市转移支付对财力均等化效果(U)从2015年的0.68降至2019年的0.46,而其范围均在区间范围内,呈现逐渐下降之态势,这表明了L市2015-2019年财政转移支付对财力均等化效果表现为较为明显正向关系。而对于转移支付对财力均等化作用系数而言,2015年作用系数为0.21增至2019年的0.42,其取值范围在区间内,这亦表征出财政转移支付对财力均等化的明显促进作用,有力地实现了L市下辖7个县财力均等化。以上的论述及论断验证了“假设一”的正确性。
四、进一步的实证检验
(一)计量模型的建构
上文的论述已然阐述了财政转移支付对财力均等化的效果及作用,有效探究了借助于财政转移支付途径来实现各个县级财力均衡,而本层级政府所能接受的转移支付资金及财政收入是其可自由支配的。因此,在此部分实证检验过程中所选取数据包括了财政转移支付总额、义务教育服务支出总额、财政收入总额以及人力财政支出总额、人均教育经费支出总额、人均财政收入总额,数据来源于2015-2019年《西藏统计年鉴》和L市政务网。此外,为了保障检验结果的稳健性以及转移支付对义务教育服务均等化的影响关系,笔者在此选用“双对数”模型,以验证这两者之间的影响关系。
在考虑以上因素的基础之上,设计如下计量模型:
ln(EDUit)=β1ln(PFEit)+β2ln(CTRLit)+μi+υit
式中,i代表L市下辖的7个不同县,t为时间年份(2015-2019年),μi是7个县不因时间年份变化的固定效应,υit是指随着时间年份变化的随机扰动项。ln(EDUit)是指基本义务教育服务的对数值,ln(PFEit)是指财政转移支付的对数值,ln(CTRLit)表示其他控制变量的对数值。具体而言:ln(EDUit)是被解释变量的对数,具体为人均教育支出总额;ln(PFEit)为解释变量,实质上为人均财政转移支付总额。因此,以回归检验为尝试方式,回归检验的因子系数为β1,若β1>0表示为财政转移支付总额与基本义务教育服务均等化之间呈现出显著正相关,换言之,财政转移支付总额每增加1单位,基本义务教育服务均等化程度将会显著提高β1个百分点。ln(CTRLit)是影响基本义务教育服务均等化的其他潜在变量,诸如中小学教师的知识结构、教学能力和健康状况等。
(二)实证检验
运用Stata12.0软件,笔者以上文的计量模型为基准,对人均财政支出总额与人均教育经费总额进行回归并且分别以随机效应模型和固定效应模型对其进行回归检测,具体数据结果见表3。
表3回归检验结果

注:**表示在5%置信水平上显著,*表示在10%置信水平上显著。
以Hausman检验的结果可知,其p值大于0,接受原假设,这足以认为检验可使用随机效应模型,而非固定效应模型。因此,笔者选择随机效应模型来检验财政转移支付ln(PFEit)对义务教育服务均等化ln(EDUit)之间的影响关系,而从回归检验结果来看,其相关系数为0.2567,在5%置信水平下显著相关,同时,当转移支付总额每增加1个百分点,人均义务教育支出就相应增加0.2567个百分点。由此,上述检验结果验证了转移支付对L市义务教育服务均等化程度的提升产生了较为显著性的正相关影响。
尽管上文实证分析对转移支付总额对义务教育服务均等化的正向影响进行一定的检验,但上述检验模型缺乏多变量的稳健性及拟合性。为此,笔者将人均财政收入总额ln(PFIit)作为替代变量,进而深入系统性探究人均财政支出ln(PFEit)对人均义务教育服务均等化ln(EDUit)程度的影响关系,具体检验结果如表4。
表4再检验的结果

注:**表示在5%置信水平上显著,*表示在10%置信水平上显著。
表4的数据结果显示,Hausman检验结果的p值仍然大于0,选择随机效应模型检验结果更佳。人均财政支出与人均教育支出的相关系数为0.1428,在5%置信水平下显著性检验,且人均财政支出每增加1个百分点,人均教育支出将相应增加0.1428个百分点,而以人均财政收入ln(PFIit)作为转移支付的替代变量,其相关系数为0.1806,在10%置信水平得到显著性检验,且人均财政收入每增加1个百分点,人均教育支出将相应增加0.1806个百分点。以上数据检验结果都显著性证明了转移支付对人均义务教育支出呈现出正相关。与此同时,上述检验结果与实践调研反馈结果相一致,L市增加对义务教育服务的财政投入,从而推动了民族地区基本公共服务均等化,而这部分财政投入经费的75%主要来自于中央政府和对口支援省份(广东省和福建省)。
五、结论与政策启示
(一)研究结论
笔者通过梳理既有文献的研究并结合公共服务均等化与财政转移支付的理论基础及理论推演,提出了转移支付对基本公共服务均等化影响的应然性假设。基于藏东南L市2015-2019年义务教育服务的调研数据,借助于标准离差率的统计模型,测度出财政转移支付效果系数U值及财政转移支付对财力均等化所起的作用E值,发现财政转移支付前后人均财力的离散程度以及财力均等化的效果呈现出逐渐增强的走向。同时,建构出双对数模型及面板回归模型,研究发现人均财政转移支付每增加1个百分点时,人均教育经费支出增加0.1428个百分点,这两者之间存在显著正相关关系,这亦表明了财政转移支付总额与义务教育均等化之间存在着显著的正相关关系。由此,其验证了理论基础延伸出的“假设一和假设二”的正确性。财政转移支付制度能够促进义务教育均等化程度的提高,财政转移支付总额与义务教育均等化之间的关系呈现正相关。
(二)政策启示
经济社会的长效性发展离不开该辖区内人力资本的累积,因此提升民族地区义务教育服务均等化水平以及提高民族地区社会公众的基本素质能够有助于实现民族地区的社会发展,借助于转移支付资金实现该辖区的义务教育服务均等化。在此过程中,关键要素是财力均衡,而财力均衡是保障义务教育服务均等化的有效途径。
1.优化辖区内的转移支付形式
要充分发挥出财政转移支付的内嵌效力,实现财政转移支付的横向与纵向的交替往复网状结构,从而优化辖区内的财政转移支付形式。具体优化内容为:一是合理确立转移支付的使用领域和应用范围。依据合理分配方法(例如财政转移支付因素法)来计算转移支付资金和比例,从而弥补民族地区的财政收支差额,实现中央政府和对口支援省份对民族地区转移支付的弥补效应[14]。二是增加转移支付的专项额度并且专项专用。民族地区的义务教育服务均等化水平普遍低于东中部区域,由此设置西藏东南部区域义务教育服务的专项资金,做到专项专用,旨在进一步提升民族地区义务教育的水平。此外,市级政府不能以“一刀切”方式分配,县乡政府的专项资金要依据“属地人数、人口比例及区域面积”来有效安排和分配专项资金,对偏远地区,民族自治县乡给予资金倾斜与照顾,最终形成“全方位、多层次、宽领域”专项资金使用网状结构模式,以促民族地区义务教育服务的发展,提升基本公共服务均等化水平[15]。
2.加大转移支付的倾斜力度
民族地区经济社会发展的疲弱性致使该地区经济与社会的“造血功能”较为薄弱,由此,中央政府及对口支援省份的财政转移支付重点倾斜区域应当是民族地区的基层县乡、偏远山区、贫困地区[16]。需要建构出一体化财政转移支付普惠性的网状模式,从而发挥出公共服务的普遍受益效应,为民族地区发展创造促动力。重塑现行的“财政税收返还”结构方式,否则难以实现重点区域尤其民族地区的政策倾斜意图。原因在于“财政税收返还”体系容易加剧地区间的财力差距,进而因时效而放大负面效应,最终有可能致使民族地区义务教育服务存在差距。因此,强化转移支付的倾斜力度,重点惠及民族地区的基层乡镇、边境县以及农牧民所在区域。
3.调整和优化民族地区义务教育经费的管理模式
从财政学意义来看,优化转移支付制度的关键在于调整财政转移支付的资金规模和走向,以便于适应民族地区各个区域的经济与社会的异质性发展,而转移支付资金对于民族地区发展的基本要求是实现民族地区的义务教育服务均等化,因此,调整和优化义务教育服务的资金管理模式亦成为当下民族地区发展的根本性要求,最终促成义务教育服务资金的使用效益最大化[17]。具体来看:一是设置民族区域的转移支付资金统一账户,实现资金的整体性管理,使得转移支付资金公开化与透明化。二是依据具体下级政府指标(学校数量、教师数量、学生人数、教学设备、校舍等),以此配置出义务教育服务的经费开支,借助于转移支付中教育总支出来实现义务教育服务的均等化。三是制定民族地区财政转移支付的法律法规,从法律层面上为民族地区财政转移支付与义务教育服务均等化的实现提供制度保障。
参考文献:
[1]于海洋.民族地区基本公共服务均等化的多元解读[J].中央民族大学学报:哲学社会科学版,2013(3):5-11.
[2]李丽.少数民族地区基本公共服务均等化问题研究[M].北京:中国经济出版社,2015:13-17.
[3]李俊杰,等.民族经济政策与民族地区发展[M].北京:民族出版社,2013:53-56.
[4]吴旭东,王建聪.财政转移支付对民族地区公共服务均等化效应分析[J].经济与管理,2011(6):77-81.
[5]曹艺,贾亚男.民族地区基本公共服务均等化内部差异的分析——以新疆维吾尔自治区为例[J].改革与战略,2011(9):123-126.
[6]刘梅.民族地区基本公共服务均等化的实现路径:基于财政收支结构的分析[J].西南民族大学学报(人文社会科学版),2010(6):189-192.
[7]赵楠,成艾华.财政转移支付在民族地区公共服务均等化中的效应及改进措施研究[J].西南民族大学学报(人文社会科学版),2010(10):145-149.
[8]谢冰.西部民族地区农村最低生活保障问题研究——基于基本公共服务均等化的视角[J].中南民族大学学报(人文社会科学版),2011(2):128-131.
[9]肖育才,谢芬.民族地区财政转移支付效应评价[J].中南财经政法大学学报,2013(1):71-76.
[10]郭喜,黄恒学.基本公共服务均等化的民族地区公共产品供给[J].山西大学学报:哲学社会科学版,2011(1):115-120.
[11]张文礼,侯蕊,赵昕.西北民族地区基本公共服务均等化研究——基于甘、青、宁的实证分析[J].兰州大学学报(社会科学版),2013(5):75-82.
[12]郑长德.中国少数民族地区经济发展报告(2016)[M].北京:中国经济出版社,2016:67-69.
[13]单菲菲.民族地区基本公共服务均等化研究述评:基于公共政策的视角[J].西北民族研究,2012(2):193-197.
[14]杨明洪,杨峰.西藏农牧区民生政策实施效果的调查评估与政策建议——基于西藏7村255户问卷调查[J].西南民族大学学报:人文社会科学版,2014(1):128-132.
[15]谢冰,等.贫困与保障:贫困视角下的中西部民族地区农村社会保障研究[M].北京:商务印书馆,2013:123-126.
[16]郑洲.西藏自治区政府公共服务能力提升研究——基于公共需求的分析视角[J].西南民族大学学报(人文社会科学版),2015(2):115-120.
[17]陈会方,许虹.民族地区基本公共服务均等化问题特征与政府治理变迁——以广西公共卫生服务供给为例[J].学习与探索,2014(7):57-60.
[原文责任编辑:周莉]
(本刊初审:李柯瑶;复审:王晓燕;终审:蒋立松)