摘 要:本文选取青海玉树、果洛、海南、海北、黄南藏族自治州及海西蒙古族藏族自治州等6个民族自治州为实证研究对象,应用全局主成分分析方法(GPCA)结合分层构权模型,根据教育投入与发展基础水平、教育发展水平效果及综合民族教育发展水平三个方面对这些地区2004-2014年民族教育发展状况进行了定量、动态评价和分析,为青海民族教育发展水平评价提供可借鉴的技术方法与途径。指数化的评价结果表明:青海民族教育发展水平逐年提高,整体的民族教育发展水平指数均值从2004年的-1.48434上升到2014年的1.78292。
关键词:青海;民族教育发展水平;动态评价;全局主成分分析
青海省位于被誉为“世界屋脊”的青藏高原,它由玉树、果洛、海南、海北、黄南等藏族自治州及海西蒙古族藏族自治州这6个民族自治州和西宁、海东两市组成。民族地区占全省总面积的98%以上。因此,青海民族地区社会政治经济的发展在全省社会政治经济发展中具有举足轻重的作用。一个地区社会政治经济的发展依赖于该地区教育发展水平及公民的素质[1]。历史上,青海由于自然环境恶劣,交通不便,信息闭塞,人民的思想观念落后,从而导致该地区的社会经济及教育发展水平与本省东部农业区及内地相比非常落后,这些地区直至2011年才完成“两基”达标。但近年来,随着西部大开发战略的实施和历届全国民族教育工作会议对民族地区所实施的利好政策,青海民族教育有了翻天覆地的变化,当地的社会经济也有了长足的发展,然而由于历史、自然环境等原因,民族教育发展仍面临着一些特殊困难和突出问题,如区域内民族教育发展不均衡,对民族教育的重视度不够等[2]。如何客观、准确地评价青海民族教育发展的状况,找出青海民族教育发展的差距及产生差距的主要原因,为下一步民族地区跨越式发展和制定青海民族教育发展规划提供详实的理论依据,是我们面临的重要课题,也是可持续发展的一个研究课题。近年来,国内学者从不同角度开展了对青海民族教育发展水平的定性评价分析,取得了一定成果,但鲜有一个全面的定量评价分析。因此,本文选择青海6个民族自治州为研究对象,利用现代应用统计学的相关方法与模型,对这些地区2004-2014年的民族教育发展水平进行了动态评价和分析,以期为该地区制定今后民族教育发展的方针政策提供一定的理论参考依据。
一、评价指标体系建立与数据处理
从广义的教育发展理念来讲,教育发展指数应包括:教育存量、教育增量、教育投入、教育贡献、教育公平、教育制度、职业培训及教育质量等多个指标,分别衡量教育发展已经取得的成就、教育发展速度及普及程度、教育效果、教育对知识创新和经济发展的作用、教育公平性、教育制度化的合理性和有效性、培训的规模和质量等等[3]。本文从民族教育的特殊性出发,充分考虑指标的全面性、重要性,数据资料的可得性与完整性,以及较高的相关性,将青海民族教育发展水平动态评价以两类指标分别进行:教育投入与发展基础水平指标类和教育发展水平效果类,即先将评价总系统分成两个子系统:民族教育投入与发展基础水平子系统和教育发展水平效果子系统[4]。其中,民族教育投入与发展基础水平子系统中的8项具体指标为:x1:人均教育经费(元),x2:每万人拥有小学数,x3:每万人拥有小学教师数,x4:每万人拥有中学数,x5:每万人拥有中学教师数,x6:每万人拥有幼儿园数,x7:每万人拥有幼儿教师数,x8:公共图书馆图书总藏量(千册)。
教育发展水平效果子系统中的10项具体指标为:x9:每万人中招收小学生数,x10:每万人中小学在校生数,x11:每万人中小学毕业生数,x12:每万人中招收中学生数,x13:每万人中中学在校生数,x14:每万人中中学毕业生数,x15:每万人中在园幼儿数,x16:初中毕业生升学率(%),x17:小学毕业生升学率(%),x18:小学学龄儿童入学率(%)。
通过查阅2004—2014年度的《青海省统计年鉴》[5],整理和建立出青海省六州以上评价指标的时序立体数据表(共计6×11×18=1188个数据)。
二、评价方法与模型
本文综合应用多元统计的全局主成分分析(GPCA),基于分层构权GPCA模型[6-8],对青海2004~2014年民族教育发展水平做综合性、系统化、定量化评价并给出动态性评价结果。
(一)主成分分析(PCA)
在综合评价问题中,多元统计的各种方法中PCA的理论最为成熟完善,PCA方法经过线性变换,以少数新的综合评价变量(即主成分)取代原来的多维变量:设S=(sij)pxp为样本X=(xij)nxp协方差阵,而λ1≥λ2≥…≥λp≥0为S的特征根,e1,e2,…,ep为对应的单位化正交特征向量,则第i个样本主成分为:

PCA用于多指标评价的传统方法采用的都是信息量权,且都是在指标合成时使用,第一次以特征向量作权,合成主成分[即(1)式],第二次以方差贡献率为权,对各主成分加权合成最终评价指标y:

一般要求累积方差贡献达到一定比率,将规格化数据分别代入(1)(2)式中,可得样本点的评价值,以上所述即为目前PCA综合评价中常见的方差贡献率模型方法。
(二)全局主成分分析(GPCA)
时序立体数据表是一个按时间顺序排列的数据表序列,如果对每一张数据表分别进行主成分分析,则不同的数据表有完全不同的主超平面,以至于使它们有完全不同的简化空间,就无法保证系统分析的统一性、整体性和可比性。因此,要寻求一个对所有数据表来说是统一的简化子空间,将每张数据表在其中投影得到近似表达,使得从全局角度来看,该子空间的综合效果是最佳的。这种对时序立体数据表整体进行主成分分析(PCA)称为全局主成分分析(GPCA)。
(三)分层构权GPCA模型
在综合评价问题中,尤其是复杂系统评价过程中,一般不再将多个指标放在同一个层面上[7、8],而是对其先进行分层分类处理,依照重要性赋权法对各(亚)子系统分层给予归一化重要性权,设子系统层S权记作:
亚子系统层F权记作:
。对终级子系统评价采取PCA方法,最后可依照上两层重要权,层层加权向上合成子系统的分指数和综合总指数:设亚子系统
的GPCA评价指数记作:
,
子系统Sk的评价指数记作:Sk,综合总指数记作:T,则有:

从本质上分析,该模型定权思想方法为将终级系统GPCA的系统效应权融合到评价指标重要性权(AHP权)评价中。
三、分析过程与主要结果
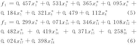
教育投入与发展基础水平指标类和教育发展水平效果类两个子系统对应的两张时序立体分数据表在软件SPSS13.0下均通过了KMO和Bartlett检验,说明两个子系统适用于GPCA的数据基本要求,利用统计软件SPSS13.0对它们分别进行GPCA(原始数据规格化采用标准化方法),标准化后的数据记作x*,计算得的两个评价分指数如下:

以上指数中(5)式是由前2个主成分合成,(6)式是由前3个主成分合成,累积贡献率都在85%以上,线性表达式的权系数符号一致、分布合理且意义明确。
再对两个子系统指数f1、f2加权(等权处理)合成综合民族教育发展水平指数T,表达式如下:T=0.500f1+0.500f2 (7)
表1和表2列出了子系统和总系统的各地不同年度的具体评价指数值:
表1 青海民族教育发展水平子系统动态评价结果表

表2 青海综合民族教育发展水平动态评价结果表

进一步计算各个年度三个层面的指数评价值的均值,由此实现整个系统各个时间上的民族教育发展水平总体状态动态比较,见表3与图1。
表3 青海民族教育发展水平总体评价比较表

图1 2004~2014青海藏区民族教育发展水平总体评价比较图

图2 2004~2014青海综合民族教育发展水平动态评价结果图
四、研究结论与相关讨论
通过对以上青海6个民族自治州民族教育发展水平评价结果图表的仔细分析,本文得出以下主要结论:
1.民族教育发展水平总体呈逐年上升态势,青海教育投入与教育发展水平基本协调。
从表3及图1可以看出青海2004—2014年总体民族教育发展水平指数平均值呈现逐年上升的态势,从2004年的-1.48434上升至2014年的1.78292,比“十一五”期末增长2.943倍。2009年之前总体民族教育发展水平指数均值为负值,其中贡献较大的因素是教育发展水平效果;2009~2011年教育投入发展水平与教育发展效果因素同步协调发展;2011年之后教育投入发展因素贡献大于教育发展效果因素。以上数据表明,西部大开发以来,青海随着经济发展水平的不断提高,教育投入的力度也不断加大,民族教育发展水平也随之稳步提高,民族教育投入与民族教育发展水平呈现比较协调的态势。
2.各州民族教育发展水平存在差距。
由表2及图2可知,各州综合民族教育发展水平在2004~2014年期间都呈现上升趋势,海南、海北、海西、黄南、玉树、果洛六州2014年综合民族教育发展水平分别比2004年增长4.4231、3.48195、1.76451、3.53551、3.17785和2.82062。发展水平最快的为海南州,其间海南州进行了民族教育布局大调整。2014年其综合教育发展水平指数为2.96575,分别是海北州、海西州、黄南州、玉树州、果洛州的0.06倍、0.31倍、0.88倍、0.92倍、0.71倍,各县综合民族教育发展水平存在一定的差距。在各子系统的发展水平上,由表1可知,2011年“十二五”开局之年各州的教育投入与发展基础水平指数最高的为海南州,为3.78887,最低者为黄南州,为-1.30832;2014年最高的为海北州,其指数为4.36670,最低的为玉树州,为0.59346,最高者为最低者的0.86倍。2011年“十二五”开局之年教育发展水平效果指数最高者为海南州,是2.52337,最低者为玉树州,为-1.39689;2014年最高仍为海南州,最低为玉树州,教育发展水平效果指数分别为2.89208和-0.11007,发展水平均有显著差异。
结 语
本文在合理构建评价指标体系的基础上,选择多元统计中适合时序数据分析的全局主成分分析方法(GPCA)结合分层构权模型,实现对青海民族教育发展水平的定量化和动态化评价,评价结构严谨,层次清晰,评价目标明确,结果基本符合实际。对于自然环境恶劣、教育发展水平相对落后的青海这一特殊区域可持续评价问题的研究有一定的参考和推广价值。
参考文献:
[1]卢真,郝麦红.我国地方政府财政透明度影响因素的差异分析——基于省级面板数据实证研究[J].经济研究参考,2018(43).
[2]李世勇,杨玉良.边疆安全视角下的西北地区和谐民族关系建构[J].西北民族大学学报(哲学社会科学版),2017(06).
[3]邱均平,宋博,王传毅.高等教育质量发展指数的国内外比较研究[J].教育与经济,2019(04).
[4]高东燕,高兵.我国民族地区高校效率研究——基于数据包络分析法[J].民族教育研究,2018(06).
[5]青海省统计局.青海统计年鉴(2004-2014)[M].北京:中国统计出版社.
[6]王晓鹏,索南加,丁生喜.青海藏区社会经济发展水平动态评价研究[J].数学的实践与认识,2012(06).
[7]王晓鹏,曹广超.基于多元统计和GIS的环境质量评价研究[M].北京:科学出版社,2013.
[8]王晓鹏,丁生喜.青海省重点开发区人口资源环境承载力评价研究[J].数学的实践与认识,2016(06)
Research on the Evaluation and Countermeasures of the Development Level of Ethnic Education in Qinghai Tibet Related Areas
SUO Nan-jia
Abstract:this paper selects the five Tibetan autonomous prefectures of Yushu, Guoluo, Hainan, Haibei, Huangnan and Haixi mongolian and Tibetan Autonomous Prefecture in Qinghai Province as empirical research areas. By using the method of GPCA, the status quo of minority education in these areas from 2004 to 2014 is quantitatively and dynamically evaluated and analyzed based on the level of education input and development, the level of educational development and the level of the overall minority education development. The exponential evaluation results show that the level of minority education in the Tibetan areas of Qinghai has been improving on a yearly basis, and the average level of minority education development index has risen from -1.48434 in 2004 to 1.78292 in 2014.
Keywords: Tibetan areas of Qinghai; minority education development; dynamic evaluation; GPCA
[原文责任编辑:安海民]
(本刊初审:李柯瑶;复审:王晓燕;终审:蒋立松)